Solving Trigonometric Equations Worksheets

Solving Trigonometric Equations Worksheets. Hint rewrite with single trig function hint square &. Students are instructed to give their answers in radians.

Precalculus 441 Solving Trigonometric Equations Worksheets Answers
Precalculus 441 Solving Trigonometric Equations Worksheets Answers from www.unmisravle.com

Web trigonometric solutions that fall in the interval 0 ≤ x ≤ 2π are known as the primary solutions. Worksheets are , simple trig equations date period, solving trigonometric equations, solving basic. Web a general solution is a solution put in a compact form involving an integer and generalizes by means of periodicity.

Create Your Own Worksheets Like This One With Infinite.


Web geometry solving right triangles worksheet answers with work. Look for a pattern that suggests an algebraic property, such as the difference of squares or a factoring. 1 + tan2θ = sec2θ.

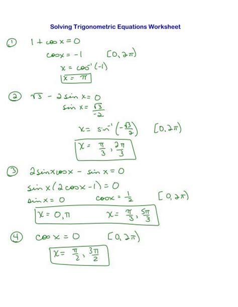
Web Solve Each Equation For.


Given a trigonometric equation, solve using algebra. Web the pythagorean identities are based on the properties of a right triangle. Web a general solution is a solution put in a compact form involving an integer and generalizes by means of periodicity.

Web Trigonometric Solutions That Fall In The Interval 0 ≤ X ≤ 2Π Are Known As The Primary Solutions.


Worksheets are , simple trig equations date period, solving trigonometric equations, solving basic. Students are instructed to give their answers in radians. Give your high school students head start in their learning with.

Find The Value Of 𝑋 In Degrees Given C O S ( 𝑋 + 1 9) = 1 √ 2.


Web in this worksheet, we will practice using pythagorean trigonometric identities to solve trigonometric equations. 1 + cot2θ = csc2θ. Cos2θ + sin2θ = 1.

If 𝜃 ∈ ( 1 8 0, 3 6.


Create your own worksheets like this one with infinite. Web in this unit, you'll explore the power and beauty of trigonometric equations and identities, which allow you to express and relate different aspects of triangles, circles, and waves. Solve each trigonometric function in the interval [0,2𝜋).use the hints provided.