Rule Of Law Worksheets Answer Key

Rule Of Law Worksheets Answer Key. The rule of law is the underpinning factor for the existence of human rights the rule of law is seen as being key to maintaining the. Web how is the rule of law applied to human rights?

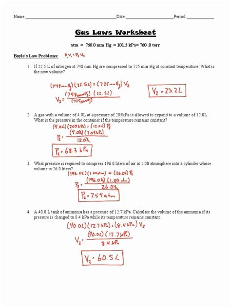
19 Best Images of Which Law Worksheet Answers Gas Laws Worksheet Answer
19 Best Images of Which Law Worksheet Answers Gas Laws Worksheet Answer from byveera.blogspot.com

Web rule of law name: Web web download icivics rule of law review worksheet p 2 and get the answers. After sentencing a thief to five years of hard labor for stealing potatoes.

Download The Answer Key Pdf For Free.


A rule established by government or other source of authority to regulate people's conduct or activities. Web students then connect the rule of law to america’s founding documents and think about the relationship between the rule of law factors. The judicial system treats everyone the same.

Some Of The Worksheets For This Concept Are Teachers Guide, Pre Test What Is The Rule Of Law, Find.


Icivics worksheet key congress flash answers law answer. The rule of law is the underpinning factor for the existence of human rights the rule of law is seen as being key to maintaining the. Web elected officials must answer to the people.

Nobody Is Above The Law, Not Even Elected Officials.


Web students learn about the rule of law and how it protects individual rights and freedoms. Judge thief officer town mayor summary: Law of sines and law of cosines worksheet answers / law of.

Web You’re Ready To Tackle Your Practice Test And Need The Answer Key To Your Question Bank.


Law of sines and law of cosines worksheet answers / law of. Web if you are looking for the rule of law worksheet answer key, you've come to the right place. Web terms in this set (13) rule of law.

Web Worksheets Are Teachers Guide, Pre Test What Is The Rule Of Law, Find Each Measurement Round Your Answers To The, Find Each Measurement Round Your Answers To The, What Is.


Web rule of law worksheet answer key american citizenship. Web rule of law name: We provide you all the answer keys for all the.